Cite as: Archiv EuroMedica. 2025. 15; 4. DOI 10.35630/2025/15/4.008
Background: Head and neck cancer (HNC) affects approximately 650,000 individuals annually worldwide. Its treatment frequently leads to significant functional impairments, nutritional deficits, and reduced quality of life. Prehabilitation, defined as a set of interventions delivered between diagnosis and the initiation of treatment, aims to optimize patients' physical, nutritional, and psychological condition to improve treatment tolerance and postoperative outcomes.
Aim: This review aims to synthesize current evidence on prehabilitation in patients with HNC, with particular emphasis on multimodal programs and physiotherapy-led interventions. It also identifies research gaps and outlines directions for future clinical implementation.
Methods: Narrative review with systematic search according to PRISMA principles was conducted using PubMed, Scopus, and Web of Science, covering the period from 2002 to 2024. Twenty nine studies were included, comprising randomized controlled trials, observational studies, and systematic reviews. Interventions were categorized into physical (including physiotherapy and swallowing exercises), nutritional, and psychosocial components. Outcomes assessed included postoperative complications, length of hospital stay, functional status, and quality of life.
Results: Multimodal prehabilitation was associated with reduced complication rates, shorter hospital stays (on average by four days), and improved treatment tolerance. Nutritional interventions helped mitigate the risk of malnutrition, while physical therapy contributed to the preservation of swallowing function. Despite the limited number of studies, consistent positive trends were observed across intervention types. The evidence also suggests potential cost savings, estimated at approximately $18,754 per patient [1] .
Conclusions: Prehabilitation is a promising strategy to support functional outcomes in patients undergoing treatment for head and neck cancer. Multimodal approaches show the most benefit and should be further developed and integrated into standard care. Further studies are needed to establish standardized protocols, define optimal timing, and identify patient subgroups most likely to benefit.
Keywords: prehabilitation, head and neck cancer, physiotherapy, multimodal intervention, functional outcomes, quality of life, systematic review
Head and neck cancer (HNC) includes oral cavity, pharynx, larynx, paranasal sinses, nasal cavity, salivary glands and nodal spread to upper cervicals. In 2020, the National Cancer institute predicted 53, 260 new instances of HNC in the United States, which is about 4 percent of all cancer cases [2] . HNCs have a high magnitude of effect on the quality of life (QoL) of patients despite their low incidence rates because of how sensitive the areas involved are, as in terms of their description and use [3]. Surgery, radiotherapy, and chemotherapy often cause severe side effects, including dysphagia, speech problems, limited cervical motion, and facial disfigurement [4], [5]. These complications lead to physical, emotional, and social difficulties; 24.5% of cancer survivors report poor physical health and 10.1% report poor mental health[6] HNC is a complex disease, which highlights the importance of implementing extensive care plans to counter morbidity as a result of treatment and improve patient outcomes over the survivorship.
Prehabilitation is a set of interventions provided between diagnosis and treatment, aiming to optimize physiological reserve and psychosocial readiness.[6]. Prehabilitation has been used in historically non-cancer populations [6], as in military recruit before boot camp and those undergoing orthopedic surgery before their hospital stays. Silver and Baima (2013) [6] were among the first to formalize the concept of cancer prehabilitation, emphasizing its role in reducing treatment-related morbidity and enhancing both physical and psychological readiness across oncology care pathways. Prehabilitation in the oncology setting seeks to maximize the pre-treatment health and well- being of the patient including physical and psychological well- being and may potentially reduce the morbidity of treatment, enhance compliance with treatment regimens and result in a reduction in medical costs [7]. Interventions could consist of exercise support, nutrition, smoking cessation, and psychosocial, dependent on needs [8]. The use of multimodal interventions (several measures in combination) demonstrated the efficacy in enhancing the outcomes in different types of cancers, such as colorectal and lung cancer, compared to a unimodal approach [7], [5]. Prehabilitation can be viewed as the proactive intervention toward patients where during the period between the diagnosis and treatment the resilience and recovery can be promoted.
Prehabilitation is especially important in HNC, as the treatment impairs even severely the functional and QoL strength. Cervical ROM (range of motion) often gets limited, the scapular muscles become weaker, and the posture is impaired due to surgical manipulation, which is a neck dissection in most of the cases, not to mention that complex surgical treatment increases the levels of fatigue, dysphagia, and radiation-related fibrosis [2], [4]. Prophylactic swallowing exercises, cervical ROM exercises, and aerobic training, all demonstrating possible effects in countering these effects, have become a subject of interest in Prehabilitation interventions. To give an example, prophylactic swallowing exercise was found to increase 3 months and 6 months post-chemoradiation decrements in swallowing function in patients with HNC in a randomized controlled trial [9]. Moreover, prehabilitation would increase physical walking performance and lower psychological suffering, and many HNC patients report high emotional loads [2], [1]. Prehabilitation can also offer additional treatment possibilities, decrease the rate of readmission to hospitals, and cut healthcare expenditures, which aligns with the objectives of the impairment-based cancer rehabilitation [6].Use of physical therapy prehabilitation regimens is of special interest considering the ability of therapists to deal with musculoskeletal and cardiopulmonary dysfunctions [2].
A recent systematic review and meta-analysis by Seth et al. (2023) synthesized 18 studies on prehabilitation in head and neck cancer and confirmed consistent benefits of multimodal approaches. The pooled data showed reductions in postoperative complications and hospital stay, with improvements in swallowing function and quality of life, supporting the integration of prehabilitation into standard care pathways [5]
Prehabilitation addresses treatment-related impairments before they occur. Newly diagnosed HNC patients often face malnutrition, reduced mobility, and psychological distress [2]. Prehabilitation maximizes pre-exertional health levels and is associated with an increase in resilience and therefore may broaden eligibility to aggressive treatments, such as combined chemoradiation. As an example, enhanced nutritional profiles have the potential to alleviate the occurrence of surgical complications, and early psychological treatments help neutralize anxiety levels and help develop better coping strategies [1]. Such a preventive strategy is concordant with precision medicine, which focuses on targets specific to each need and advances the long-term survivorship performance, especially among patients with multiple comorbidities or disease progression.
Recent evidence emphasizes the importance of incorporating patients' and citizens' perspectives when designing rehabilitation strategies for head and neck cancer survivors. A 2025 study by Jacobsen et al. [10] identified key rehabilitation challenges—such as limited access to services, insufficient psychological support, and communication difficulties with healthcare professionals—that are frequently overlooked in standard care pathways.
Although there is some evidence that supports prehabilitation in cancer such as colorectal and prostate, studies on prehabilitation related to HNC, especially interventions led by physical therapy, are poorly researched [2], [5]. Current literature usually concentrates on interventions provided in a single mode, for example, practice of swallowing without thorough multimodal interventions including ROM, strength, endurance, and psychosocial support [4], [9]. The information on an appropriate frequency, duration, and delivery format (supervised and unsupervised) of exercise in HNC patients is limited, along with the effects of prehabilitation on the long-term QoL and adherence to treatment [2],[11]. Also, the option of including nutritional and psychosocial aspects in the prehabilitation of HNC needs to be further investigated in terms of both feasibility and efficacy [12]. The objective of the current study is to design a multimodal prehabilitation protocol in HNC patients, which entails physical therapy assessment and intervention to target functional deficits and QoL. A recent Polish framework known as the RESET tool highlights a structured, multimodal approach to prehabilitation in head and neck cancer, emphasizing personalized nutritional and physical interventions aligned with perioperative timelines [13] This study aims to close essential knowledge gaps and design future research in randomized controlled trials to optimize HNC care by introducing the feasibility and identifying trends of outcomes.
This systematic review aims to comprehensively analyze and synthesize the current evidence on multimodal prehabilitation strategies in patients with head and neck cancer. It seeks to identify the impact of prehabilitation on functional outcomes, treatment tolerance, and postoperative recovery.
The novelty of this review lies in its focus on head and neck cancer, a setting where multimodal prehabilitation strategies remain insufficiently studied. The authors systematize the main components of such interventions and highlight the limited research on physical therapy–led programs.
Furthermore, the review intends to highlight the limitations of existing studies, explore variations in clinical implementation across settings, and propose future directions for integrating prehabilitation into standard oncologic care pathways.
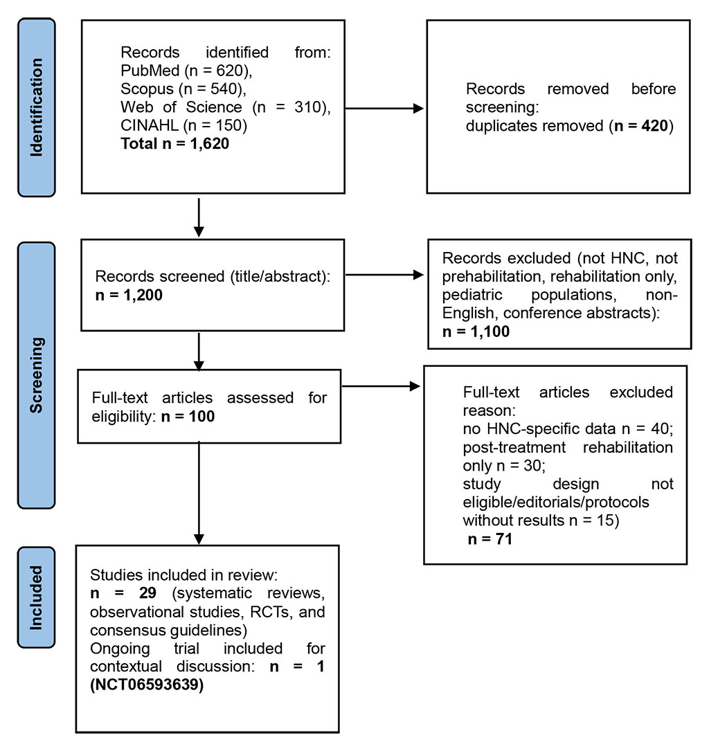
The study of literature was systematic and carried out according to the Preferred Reporting Items for Systematic Reviews and Meta-Analyses (PRISMA) guidelines to be as rigorous and transparent as possible. Surveillance was based on research articles issued between 2002 January and 2024 October on prehabilitation programs on adult patients (HNC onset). Such databases as PubMed, Scopus, Web of Science, and CINAHL (those were chosen because they cover an extensive range of medical and allied health literature) were searched. Medical Subject Heading (MeSH) and free-text search terms were designed based on the combination of terms related to prehabilitation, head and neck cancer, neck neoplasm, nutrition, exercise, swallowing, dysphagia, physical therapy and multimodal intervention. The search was refined by the application of Boolean operators (AND, OR) or the filters that reduced the results to peer-reviewed articles in English. The hand-searched of the reference lists of the included studies and relevant reviews was used to recognise further sources. The search was recentized in 2025 so as to cover more recent publications [3], [5].
Inclusion Criteria
The inclusion of studies was made on predetermined criteria to make studies related and consistent. The inclusion criteria were the following: (1) they studied the prehabilitation interventions as the treatment targeted to improve patient characteristics (physical, nutritional, or psychosocial) before the delivery of primary treatment (surgery, radiotherapy, or chemotherapy) in the HNC patient; (2) they involved adult patients (minimum of 18 years of age) diagnosed with HNC, which includes oral cavity cancer, pharynx cancer, larynx cancer, and salivary gland cancer; (3) they reported clinical outcomes (for example, treatment complications, the duration and (4) studies were not included when they were about rehabilitation after treatment, contained non HNC populations having no separate HNC data, or were not empirical (for example editorials, commentaries). They did not include grey literature, for example, conference abstracts, in order to keep methodological rigor [4], [6].
A standardised template was used to extract data in order to have consistency in different studies. The extracted variables were the type of study design (for example randomized controlled trial, cohort study), sample (for example age, stage of HNC, type of treatment), duration (for example type, duration, mode of delivery) of the interventions, outcome measures (for example functional scales, QoL scales), and key results (for example effect sizes, statistical significances). Data extraction was done by two reviewers independently and differences availed solved by discussion or by calling in the third reviewer. It was considered that a meta-analysis would be inapplicable because of both heterogeneity of study designs and choice of interventions and outcome measures. Rather, the narrative synthesis method was used creating the generalization of findings, followed by the organization of studies into categories based on the type of intervention (for example, exercise, nutrition, multimodal) and outcomes domains (clinical, functional, QoL). Patterns and trends among the studies were determined based on the use of the thematic analysis, and the focus was made on the efficacy and feasibility of interventions [2], [5].
Narrative synthesis was chosen due to heterogeneity of study designs, enabling examination of intervention effects. Data were categorized by intervention type (nutritional, physical, multimodal) and outcome domain (clinical, functional, QoL). Much attention was paid to quality analysis with the help of evaluation systems, such as the Cochrane Risk of Bias of RCT and Newcastle-Ottawa Scale of observational research, so as to have a quality examination [5]. Sensitivity analyses were attempted to investigate the quality effect of a study on their findings where high quality studies were brought to the fore. It can considerably increase the trustworthiness of conclusions, in spite of the fact that the study did not allow conducting meta-analysis due to heterogeneity [7].
The approach is limited in various ways. The non homogeneity of study designs and outcome measures ruled out quantitative synthesis and prevented to make final conclusions on the efficacy of interventions. Limiting the search to English-language, peer-reviewed articles may have excluded relevant studies. Focusing only on the diagnosis-to-treatment interval may have overlooked interventions applied earlier or later in care. Also, differences in HNC staging and treatment mode among studies might make it difficult to make comparisons of the impact of the intervention. Lastly, database search and hand search were likely to overlook emerging research that had not received indexing, although the update in October 2024 reduced this possibility [7], [11].
Twenty nine studies were added to the study, and their inclusion criteria included systematic reviews, observational studies, randomized controlled trials (RCTs), and consensus guidelines, constituting an increasing level of interest in prehabilitation to head and neck cancer (HNC) patients. All the mentioned studies, published in the period between 2002 and 2024, compared such areas as nutritional, physical, swallowing interventions, psychological, and multimodal interventions provided between diagnosing and the start of treatment. The evidence underlines the role of prehabilitation in reducing the morbidity associated with treatment, functional outcomes, and quality of life (QoL). The ongoing NCT06593639 trial is evaluating a multidimensional prehabilitation model integrating nutritional counseling, aerobic conditioning, and mental health support, aiming to assess feasibility and optimize preoperative readiness in diverse HNC populations. The interventions varied between unimodal (for example nutritional counseling, swallowing exercises) and multimodal interventions (for example exercise, nutrition, and psychosocial support). Regardless of the inconsistencies in study designs and results, the evidence is uniform in determining that prehabilitation is linked to an improved clinical, functional, and QoL outcome, especially among advanced HNC patients and those with baseline malnutrition [2], [5].

Figure
1. PRISMA flow diagram of study selection
RCT
= randomized controlled trial
The most well-researched modality in the HNC field is nutritional prehabilitation, focusing on the prevalence of malnutrition (3550%), the oropharynx and hypopharynx being the most prone to malnutrition [14]. A systemic review of the studies in one paper by De Pasquale et al. (2023) investigated the topic of early nutritional interventions (counseling and oral nutritional supplements (ONS)) and included seven studies to determine that early nutritional interventions have had a large positive impact on nutritional outcomes. Coti Bertrand et al. (2002)[15] compared home-based preoperative nutrition with nutrition in 270 consecutive patients with HNC, where 53 percent of the patients had malnutrition as the baseline characteristic, especially those who abused alcohol. They compared their intervention, which entailed delivery of polymeric enteral nutrition in a dose of 30 kcal/kg/day within 7-10 days, with natural care.
The evidence shows that nutrition prehabilitation is associated with a significant improvement of nutritional status and post-surgery outcomes. According to De Pasquale et al. (2023), patients who received nutritional counselling and ONS had a better caloric uptake, weight preserved (mean difference: 0.81 kg to 1.51 kg), and a lower sufferance of oral mucositis (relative risk reduction: 15 to 20%) than the controls did. The study conducted by Coti Bertrand et al. (2002)[15] demonstrated that their intervention was associated with a preoperative mean weight increase of 1.3 kg and a post operative alcohol withdrawal syndrome of 66 to 28 percent (p < 0.009). The postoperative complications were lowered by about 10 percent in preoperative nutritional support in malnourished patients with weight loss of greater than or equal to 10 percent [15]. The results of this study confirm the importance of the nutritional prehabilitation in reducing risks caused by malnutrition and enhancing surgery recovery among patients with HNC [14], [12].
The practical advantages of nutritional prehabilitation are enhanced postoperative patient outcomes and decreased cost of care. Early interventions against malnutrition, such as ONS or enteral nutrition, prevent weight loss and boost immunity, in surgical stress-exposed patients, an essential factor in the process [14]. An example is specific calorie diets (30 kcal/kg/day) that help heal the tissues and minimize the infection levels especially among groups who are at risk of getting such infection such as alcohol consumers [15]. Such interventions can be conducted out of a hospital, and a patient becomes able to take care of his or her nutritional needs. The practice of such strategies does not only increase positive clinical outcomes, however, the confidence and tolerance towards treatment are also raised among patients.
Pasquale et al. (2024)[14] emphasize designing evidence-based nutritional prehabilitation protocols as a foundational component to effectively manage malnutrition in head and neck cancer care. Table 1 summarizes the design, interventions, and key outcomes of representative prehabilitation studies in HNC [1][15][14][18][20].
Table 1: Summary of Key Prehabilitation Studies in Head and Neck Cancer
| Study | Design | Sample Size | Intervention | Key Outcomes |
| Schmid et al. (2022) | Case-control | 161 | Multimodal (MUPAID) | ↓ complications (34.6% vs. 52.5%), ↓ LOS (12 vs. 16 days), ↓ costs ($18,754) |
| De Pasquale et al. (2023) | Systematic review | 470 | Nutritional ± physical | Maintained nutrition, ↓ dysphagia |
| Kuenzel et al. (2024) | Protocol | Planned 70 | Phoniatric prehabilitation | Ongoing trial |
| Coti Bertrand et al. (2002) | Observational | 270 | Home nutrition | Weight gain (1.3 kg), ↓ AWS (66% to 28%) |
| Sorensen et al. (2009) | RCT | 15 | Immunonutrition | Trend to ↑ immune function |
LOS = length of stay RCT = randomized controlled trial; AWS = aspiration while swallowing
Swallowing and physical prehabilitation are based on conscripting functional ability and preventing loss during treatment, especially dysphagia. The prospective of the PREHAPS trial protocol was also characterized by Kuenzel et al. (2024)[11] who made an attempt to carry out a randomized controlled trial-based evaluation of phoniatric prehabilitation, which represents a combination of swallowing-focused exercises, nutritional consultation, and patient education. Loewen et al. (2021)[4] provided a review of the literature, which revealed prophylactic swallowing exercises as one of the primary components to preserve the oropharyngeal function in HNC patients. A systematic review by Vester et al. (2023)[16] confirms that swallowing-specific prehabilitation—particularly when started at diagnosis—yields short-term improvements in oropharyngeal function and patient-reported quality of life in head and neck cancer patients
Exercises designed to improve swallowing include the Mendelsohn maneuver, Shaker exercises, supraglottic swallowing, tongue resistance, effortful swallowing, passive mouth opening, and others that frequently, but not always, are done daily from diagnosis to treatment. Retèl et al. (2016)[17] evaluated the TheraBite preventive exercise protocol and found that integrating jaw mobility exercises during radiotherapy not only reduced trismus incidence but also offered a cost-effective strategy to preserve oral function in HNC patients. Kuenzel et al. (2024)[11] found that exercise was done to strengthen muscle and coordination to protect against dysphagia and radiation-induced fibrosis. Jack et al. (2024) [18]reported that head and neck cancer patients who underwent swallowing-focused prehabilitation demonstrated significantly better preservation of swallowing function three months post-treatment compared to those receiving standard care
Multimodal prehabilitation with exercise, nutrition, and psychosocial intervention is best. Schmid et al. (2022)[1] evaluated a multiprofessional preoperative assessment and information day (MUPAID) for 161 head and neck cancer surgery patients that included assessment and education from surgeons, nurses, speech therapists, psycho-oncologists, and social workers. Boright et al. (2020)[2] pointed out the multimodal protocol in problems and showed just how multimodal protocols are possible to use in HNC treatment. In a recent feasibility study, Groen et al. (2025)[19] demonstrated that a multimodal prehabilitation protocol—including high-intensity interval training, protein-enriched diets, and speech therapy—was both well-tolerated and associated with improved functional capacity, as evidenced by significant gains in 6-minute walk test scores postoperatively. The study achieved a participation rate of 60 % (30 out of 50 patients), with a low dropout rate of 7 %, and among those who continued (n = 28), 96 % attended at least six preoperative sessions
Gili et al. (2024)[20] reviewed multimodal prehabilitation approaches in HNSCC patients undergoing chemoradiotherapy, highlighting early evidence for improved functional outcomes and reduced treatment-related morbidity.
One great advantage between the MUPAID group and controls was the frequently mentioned beneficial effect on major complications (Clavien-Dindo III-V: 34.6 vs. 52.5%) which were accomplished much faster thus diminishing longer median days in hospital (12 vs. 16, p < 0.01) and reduced costs per case (median reduction: 18,754). Boright et al. (2020) claim that the multimodal intervention is considered to allow improving the compliance of patients to the treatment by 8-12% and avoid postoperative infections. The findings suggest that these are the ways in which well-designed multimodal prehabilitation can enhance clinical outcomes, reduce healthcare delivery, and streamline the process to become less costly, particularly in conditions of highly complex surgical interventions related to HNC [1], [2].
The very scope of the multimodal prehabilitation has a broader spectrum of results like the increased compliance of patients with treatment, and reduced readmissions. The integrated approach to MUPAID allows promoting exercise, diet, and psychological coping, improving resilience and helping patients to have a better tolerance toward treatment toxicities [1]. Such interventions can be adjusted to different health environments and it can be scaled up using standardized guidelines. As well, patient education through the multimodal mode systems also builds self-efficacy, which decreases the time of postoperative recovery [2]. The synergistic effects of combined interventions show its importance in the needs of the HNC patients, where they help in not only short-term recovery but also longer-term preservation of functions.
Physiological reserve and functional capacity benefit HNC patients through exercise prehabilitation. Gillis et al. (2022) summarized the prehabilitation in the Enhanced Recovery After Surgery (ERAS) pathways, where the use of preoperative exercise interventions delivered through aerobic and resistance training tests contributed to a considerable increase in the cardiopulmonary reserve, maintaining fat-free mass. Seth et al. (2023) found that HNC patients in functional exercise prehabilitation (for example, 30 to 60 minutes at a moderate intensity of aerobic exercise 3 to 5 occasions per week) exhibited an enhanced postoperative capacity (improvement in the 6-minute walking test: 40-60 meters, p < 0.05) to walk and had improved fatigue compared to controls. All these interventions were associated with an improved treatment tolerance and an accelerated recovery of baseline functional status, with a primary focus on exercise as an essential element of HNC prehabilitation [7], [5].The Prep4RT protocol[21] outlines a stepped-care, multimodal prehabilitation approach—offering tailored physical and psychological support resources to patients initiating radiotherapy, while evaluating feasibility through adoption and fidelity metrics
Harris (2024)[22] conducted a scoping review that underscores growing but still limited attention to prehabilitation interventions initiated before radiotherapy—recognizing a need for more rigorously designed studies.
In HNC prehabilitation, immune-modulating, arginine-containing formulas, omega-3 fatty acid rich formulas, and nucleotide-containing formulas are promising as immunonutrition. Sorensen et al. (2009)[23] did a pilot experiment on 15 patients with HNC; the researchers compared immunonutrition with the standard nutrition. Despite the small sample size, some trends showed an increase in the rate of immune system recovery markers (CD3 + and CD4 + T cells on day 7 of the postoperative period grew by 15 20) and a decline in the inflammatory reaction (C-reactive protein was by 10 15 mg/L lower). These results are consistent with the general evidence that immunonutrition has the potential to improve immune resilience, although further research is required regarding the efficacy thereof in the case of HNC patients, where larger RCTs should be conducted [23], [14].
Table 3 summarizes reported outcomes according to intervention type, highlighting the superiority of multimodal approaches [1][5][15][14].
Table 3: Outcomes of Prehabilitation by Intervention Type
| Intervention Type | Complications | LOS | QoL | Functional Status | Cost-Effectiveness |
| Nutritional only | ↓ 10% | ↓ 1–2 days | ↑ | Maintained | High |
| Physical only | ↓ Variable | No change | ↑ | ↑ | Moderate |
| Psychological only | Not reported | No change | ↑↑ | ↑ | Moderate |
| Multimodal | ↓ 10–50% | ↓ 4 days | ↑↑ | ↑↑ | Very High |
LOS = length of stay; QoL = quality of life
The evidence synthesized in this review demonstrates that prehabilitation provides consistent clinical benefits for patients with head and neck cancer (HNC), particularly when interventions are delivered in a multimodal format. Our findings are consistent with Seth et al. 2023[5], the largest systematic review to date. Nutritional support reduces treatment-related complications and improves weight retention [14] [15], physical training and prophylactic swallowing exercises preserve functional outcomes [4] [11] [16], and psychological support enhances treatment adherence and emotional resilience [1] [2]. Together, these elements form a synergistic framework addressing the multidimensional vulnerabilities of HNC patients. Importantly, multimodal programs have also been associated with cost savings, with reductions in per-case expenditures estimated at approximately $18,754 [1]. Figure 2 illustrates the multimodal structure of prehabilitation, integrating nutritional, physical, psychological, and educational components

Figure 2: Components of Multimodal Prehabilitation in Head and Neck Cancer
Table 2 aligns ERAS guidelines with practical recommendations for prehabilitation in head and neck cancer [26][27].
Table 2: ERAS and Prehabilitation Recommendations for Head and Neck Cancer
| Intervention | Timing | Evidence Level | Recommendation Strength |
| Nutritional screening | At diagnosis | High | Strong |
| Oral supplements | 7–10 days pre-op | Moderate | Strong |
| Swallowing exercises | Diagnosis to recovery | Moderate | Strong |
| Psychological assessment | At diagnosis | Low | Moderate |
| Multimodal approach | Throughout pathway | Moderate | Strong |
The optimal prehabilitation window in HNC is short, often limited to 2–4 weeks between diagnosis and treatment initiation [24]. Nevertheless, even brief interventions of 7–14 days have demonstrated meaningful improvements in nutritional status, functional capacity, and quality of life [14] [15]. The clinical challenge lies in balancing oncologic urgency with the need to optimize patients prior to surgery or radiotherapy. Ongoing trials, such as PREHAPS, are expected to provide evidence on the optimal timing and duration of prehabilitation in this patient group [11].

Figure 3: Timeline of Prehabilitation Interventions
Figure 3 presents the recommended timeline for prehabilitation interventions relative to diagnosis and treatment initiation.
Not all patients benefit equally from prehabilitation. The greatest improvements have been observed in malnourished individuals, those undergoing complex surgical procedures such as free flap reconstruction, and patients with significant comorbidities [1] [14] [15]. Tailored interventions—nutritional counseling for malnourished patients, swallowing exercises for those with oropharyngeal tumors, and aerobic training for patients with cardiopulmonary disease—enhance both feasibility and effectiveness [4] [16]. A risk-stratified approach based on baseline assessments has the potential to optimize resource allocation and maximize clinical benefit.
Several barriers hinder the widespread adoption of prehabilitation in HNC. These include the short time between diagnosis and treatment, patient distress at the time of diagnosis, and variability in access to dietitians, physiotherapists, and psycho-oncologists across institutions [1] [2]. Resource limitations in smaller centers may further impede implementation. On the other hand, strong evidence for cost-effectiveness [1] [25], alignment with ERAS protocols [24], and patient empowerment through structured education [1] act as key facilitators. Telehealth and digital applications offer promising strategies to overcome logistical barriers and expand access, particularly in underserved areas [26].
Prehabilitation is already well established in colorectal, lung, and orthopedic surgery, where it is integrated into perioperative pathways [7] [8]. Findings in HNC mirror these contexts, but with unique challenges due to the functional complexity of the head and neck region. In colorectal cancer prehabilitation focuses on aerobic capacity, while in HNC it must also target dysphagia, speech, and psychosocial issues [4] [16]. The ERAS Society recommends including prehabilitation in HNC pathways [24], consistent with ASCO guidelines on exercise and nutrition [27].
Despite growing evidence, important gaps remain. Many studies are limited by small sample sizes and heterogeneity in intervention design and outcome measures [5] [28]. There is a lack of standardized protocols defining the frequency, intensity, and duration of interventions, which limits reproducibility [7] [24]. Future research should prioritize large multicenter randomized controlled trials, evaluate long-term outcomes including survival and quality of life, and apply implementation science to identify barriers and facilitators across healthcare systems [28]. The role of digital health tools and telehealth in delivering scalable, personalized prehabilitation programs should also be explored [26].
Prehabilitation, particularly in a multimodal format combining nutritional support, physiotherapy, and psychological interventions, demonstrates measurable benefits for patients with head and neck cancer. These include fewer postoperative complications, shorter hospital stays, preserved swallowing function, and improved quality of life [1] [5] [14]. The greatest effect is observed when interventions are applied within a two- to four-week window before the start of oncologic treatment and are delivered by coordinated multiprofessional teams [1] [24] [27].
Despite heterogeneity across studies and the limited number of large, high-quality randomized trials, current evidence supports the incorporation of prehabilitation into routine clinical pathways, especially as part of ERAS protocols [24] [27]. Future research should focus on standardizing intervention protocols, determining optimal timing and duration, evaluating long-term functional outcomes, and identifying patient subgroups that benefit most from specific intervention components [5] [28].
If successfully implemented, prehabilitation has the potential to become a cornerstone of head and neck cancer care, aligning clinical effectiveness with improved patient-centered outcomes.
Artificial intelligence was used to assist in language editing and restructuring of the manuscript. The authors take full responsibility for the scientific content of the article.
The authors declare no conflicts of interest.
This research received no external funding.